近期,体育365官网防灭火团队宋泽阳副教授课题组在燃烧和化工领域国际顶级期刊《Combustion and Flame》、《Chemical Engineering Journal》上相继发表题为“Modelling oxygen-limited and self-sustained smoldering propagation: Underground coal fires driven by thermal buoyancy”、“Modelling oxygen-limited and self-sustained smoldering propagation: Thermochemical treatment of food waste in an inert porous medium”的研究成果。365体育为第一单位和唯一通讯单位,宋泽阳副教授为第一作者兼通讯作者,参与单位还有加拿大University of Western Ontario和英国Open University。围绕该项研究成果,宋泽阳副教授在第八届全国青年燃烧和European Geosciences Union (EGU) Assembly (EGU) 2023学术会议上分会场学术报告。该研究得到了国家自然科学基金(51804168)、陕西省高层次青年科技人才计划、陕西省科技厅面上项目(No. 2023-JC-YB-432)资助。
地下煤火是威胁煤矿安全生产和污染环境的全球性灾害,我国是受灾最为严重的国家之一。地下煤火蔓延预测对地下煤火灾害防治具有重要的理论指导意义,但是目前阴燃蔓延模型还存在两点仍未解决的关键科学问题:(1)基于Arrhenius汇项的氧气组分运输方程并不能解决气固两相之间氧气非均衡矛盾;(2)不能对蔓延动态过程的动力学/供氧控制机制进行分析。针对以上问题,该研究从颗粒尺度(如图1所示)的多孔介质气固两相的氧气组分运输方程出发,推导出了适用于燃料层尺度(如图1所示)考虑阴燃动力学反应-供氧控制机制的氧气组分运输方程,它将气固两相氧浓度非均衡方程(两个守恒方程)简化为氧浓度均衡方程(一个守恒方程),但同时又能反应气固两相氧气浓度非均衡的特征,且能提高计算收敛性和计算效率。图2对比了提出的模型计算结果(上面两个图中的实线)与传统模型计算结果(下面两个图中的实线)以及实验结果(图中的阴影区域)。由图可知,提出的模型比传统模型能更好地预测地下煤火自维持阴燃蔓延。

图1 多孔介质燃料多尺度阴燃蔓延示意图.
图2 提出模型的实验验证(阴影图为多次重复性实验结果)以及与传统模型对比.
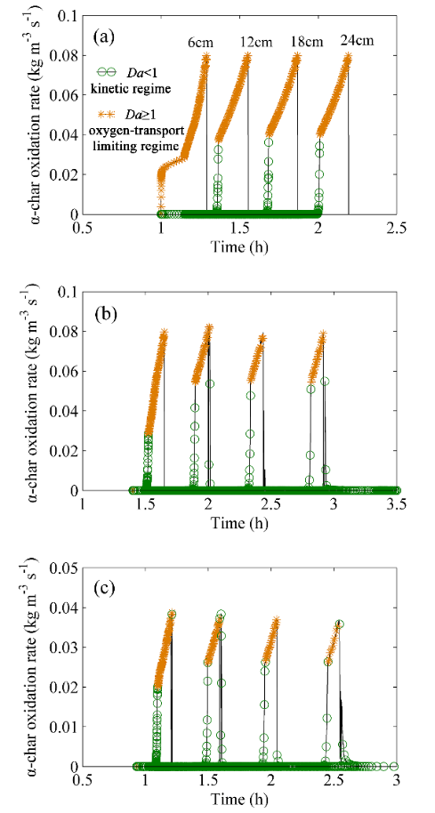
近年来,自维持阴燃已被证明是一种有效的废弃污染物处理新技术,在石油泄漏污染土壤修复、污泥和有机污染物处置等方面得到广泛应用。宋泽阳副教授课题组将前面提出的地下煤火供氧控制-自维持阴燃蔓延模型推广应用至餐余垃圾自维持阴燃处置,通过与前期实验(发表在Fuel Processing Technology,365体育为第一完成单位)结果对比,验证了所提出的模型在含有惰性材料(石英砂)的多孔介质自维持阴燃蔓延也具有良好的预测能力,且进一步揭示了由强鲁棒自维持性至弱鲁棒自维持性阴燃蔓延的动态控制机制(如图3所示)。

图3 不同自维持性(由上至下表示由强至弱)的餐余阴燃蔓延动态控制机制示意图.
原文链接:https://doi.org/10.1016/j.combustflame.2022.112382, https://doi.org/10.1016/j.cej.2023.143539